Accueil
Cours P1
Cours P2
Exos P1
Exos P2
Affichage
Contact
10
Jun
L2P SDE S3Exo3 2023/2024
L2-Physics – UMBB
Series & Differential Equations 2023/2024
أول نشر 10 جوان 2023
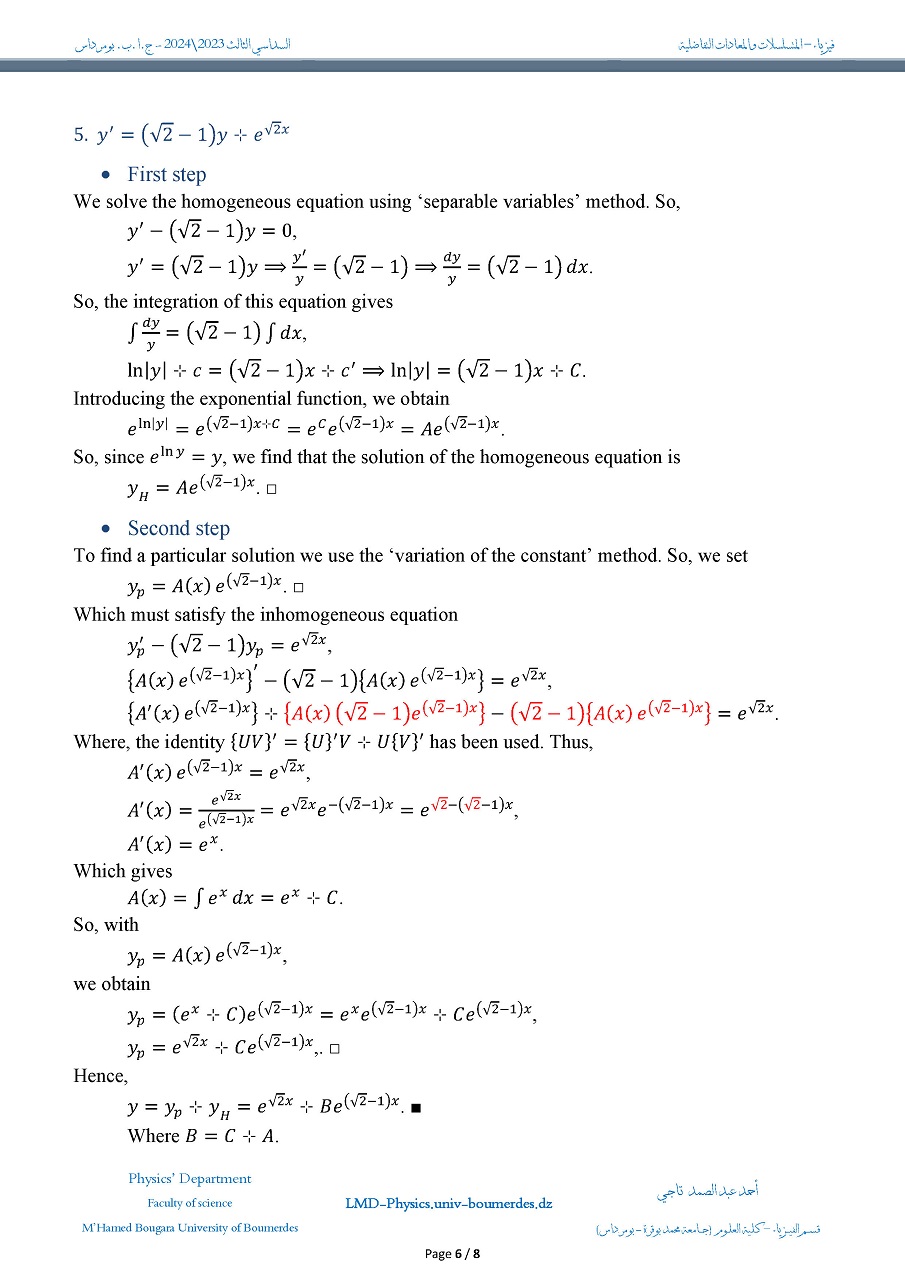
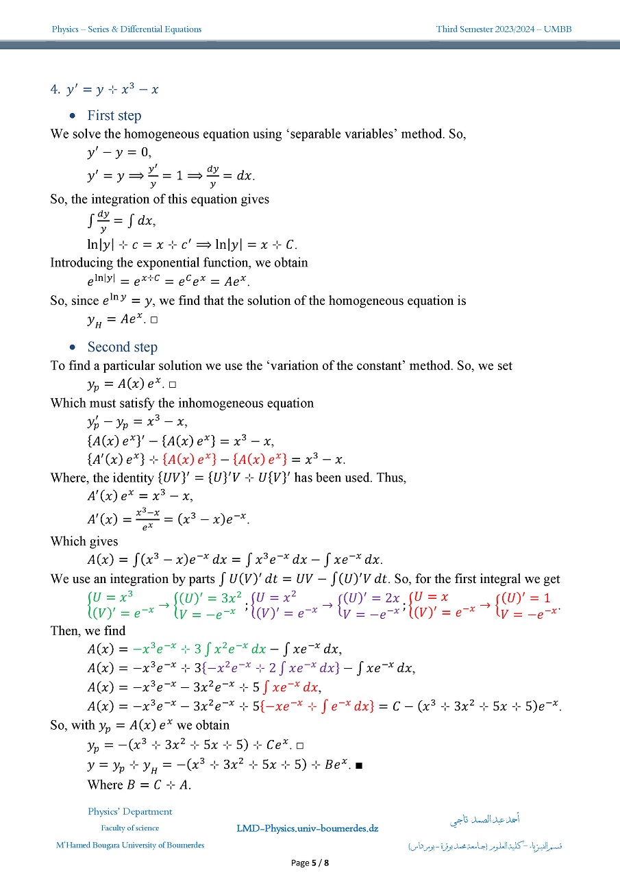
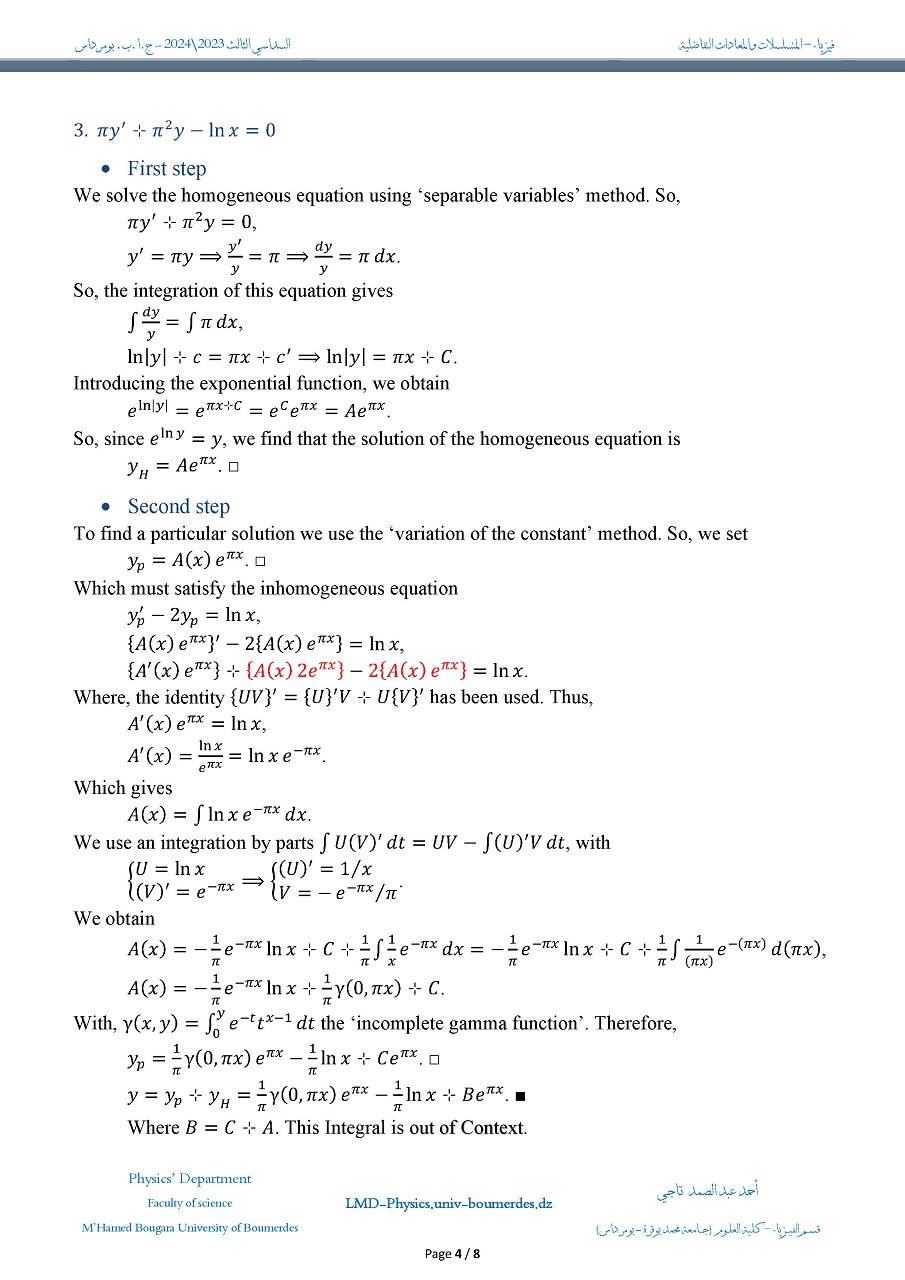
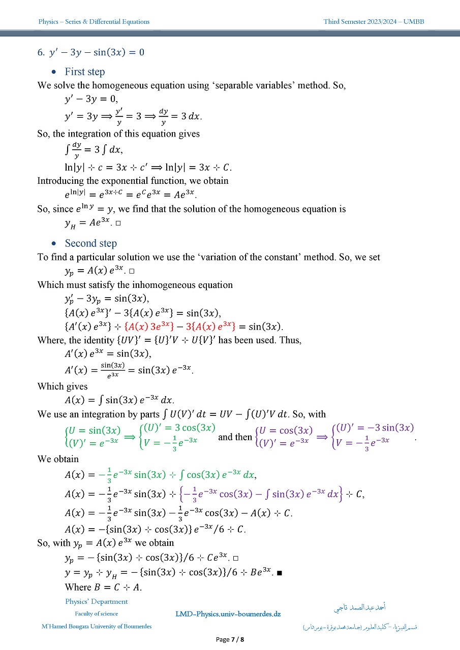
First Order Linear Differential Equations with Constant Coefficients
By Tadji
|
L2P-Exercises
,
Series & Differential Equations
|
0 comment
Leave a Comment
Click here to cancel reply.
Name (required)
Mail (will not be published) (required)
Website
Comment
تصفح
نصوص وحلول امتحانات
فيزياء
1
و فيزياء
2
بين سنتي 2014 و 2023
لفئتي
علوم المادة
و
علوم وتكنولوجيا
Examens & Tests
متفرقات – Divers
Résumés des TDs Online
طرائق رياضية للفيزياء
هل تعلم؟
Categories
Categories
Select Category
Analyse Dimensionnelle
Calcul Vectoriel
Charges Ponctuelles
Conducteurs Équilibre
Courants Fictifs
Distribution Continue de Charge
Divers
Électrocinétique
Electrostatique
Examens & Tests
Functions of a Complex Variable
Integral Calculus
L2P-Exercises
L2P-Series
Mouvement Curviligne
Mouvement Rectiligne
P1 Exercices
P1 Rappels de Cours
P2 Exercices
P2 Rappels de Cours
Physique 1
Physique 2
Quantité de Mouvement
Series & Differential Equations
Systèmes Dynamiques
Théorème de Gauss
Travail & Énergies
بطاقات
هل تعلم
الجديد
L2P SDE S3Exo3 2023/2024
L2P SDE S3Exo1 2023/2024
L2P SDE S3CplExo1 2023/2024
P2 Série3 SM 2023/2024 UMBB
Test2 – FCV 2023/2024 UMBB
Test1 – FCV 2023/2024 UMBB
P2 Test2/SM (4,5&6) 2023/2024
Search for:
آخر التعليقات
Zakaria
on
P2 Serie2 ST 2023/2024 UMBB
Tadji
on
P2 Serie2 ST 2023/2024 UMBB
Zakaria
on
P2 Serie2 ST 2023/2024 UMBB
Hassane
on
P2 Exo 07 Série1/ST 2017/2018
Meroua
on
L2P SDE Serie1 2023/2024 UMBB
Tadji
on
P2 Série1 ST 2021/2022 UMBB
Mouna Tarzi
on
P2 Série1 ST 2021/2022 UMBB
سلاسل التمارين
L2P - Série N°1 S3 - 2023/2024
P1 - Série N°1 SM - 2017/2018
P1 - Série N°1 SM - 2019/2020
P1 - Série N°1 ST - 2014/2015
P1 - Série N°1 ST - 2017/2018
P1 - Série N°1 ST - 2019/2020
P1 - Série N°1 ST - 2020/2021
P1 - Série N°2 ST - 2016/2017
P1 - Série N°2 ST - 2017/2018
P1 - Série N°2 ST - 2018/2019
P1 - Série N°2 ST - 2019/2020
P1 - Série N°2 ST - 2020/2021
P1 - Série N°2 ST - 2021/2022
P1 - Série N°3 SM - 2016/2017
P1 - Série N°3 SM - 2017/2018
P1 - Série N°3 SM - 2019/2020
P1 - Série N°3 SM - 2023/2024
P1 - Série N°3 ST - 2014/2015
P1 - Série N°3 ST - 2018/2019
P1 - Série N°3 ST - 2023/2024
P2 - Série N°1 SM - 2014/2015
P2 - Série N°1 SM - 2019/2020
P2 - Série N°1 SM - 2021/2022
P2 - Série N°1 ST - 2012/2013
P2 - Série N°1 ST - 2013/2014
P2 - Série N°1 ST - 2014/2015
P2 - Série N°1 ST - 2017/2018
P2 - Série N°1 ST - 2018/2019
P2 - Série N°1 ST - 2019/2020
P2 - Série N°1 ST - 2020/2021
P2 - Série N°1 ST - 2021/2022
P2 - Série N°1 STH - 2014/2015
P2 - Série N°2 SM - 2019/2020
P2 - Série N°2 SM - 2020/2021
P2 - Série N°2 ST - 2013/2014
P2 - Série N°2 ST - 2014/2015
P2 - Série N°2 ST - 2018/2019
P2 - Série N°2 ST - 2019/2020
P2 - Série N°2 ST - 2020/2021
P2 - Série N°2 ST - 2021/2022
P2 - Série N°3 SM - 2014/2015
P2 - Série N°3 SM - 2020/2021
P2 - Série N°3 ST - 2020/2021
P2 - Série N°3 ST - 2021/2022
P2 - Série N°3 STH - 2014/2015